اقتصادمحلي

المصرف المركزي يكشف حجم مصروفات الجهات السيادية

المصرف المركزي يكشف حجم مصروفات الجهات السيادية

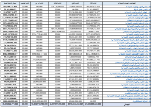
كشف مصرف ليبيا المركزي أن إجمالي مصروفات مجلس النواب والجهات التابعة له بلغت 893.788 مليون دينار ليبي.

وأوضح المصرف في بيانه عن الإيرادات والنفقات خلال النصف الأول من العام الجاري، أن مصروفات المجلس الرئاسي والجهات التابعة له بلغت 324.716 مليونا، فيما وصلت فيمة مصروفات مجلس الوزراء بحكومة الوحدة المؤقتة 1.5 مليار دينار، وبلغ حجم نفقات مجلس الدولة الإخواني 21 مليون دينار.

مقالات ذات صلة

زر الذهاب إلى الأعلى