ميليت معلقا على باشاغا: الناخبون في ليبيا وليس واشنطن..ما مدى فهمهم للناخبين الليبيين
الناخبون في ليبيا وليس واشنطن
ميليت معلقا على باشاغا
تعليقا على توقيع فتحي باشاغا عقد مع شركة “برونستين الأمريكية للعلاقات العامة والضغط” بقيمة 600 ألف دولار لمدة سنة قابلة للتجديد لترويج نفسه في واشنطن كمرشح رئاسي في ليبي، قال السفير البريطاني السابق لدى ليبيا بيتر ميليت في تغريدة له على موقع التواصل الاجتماعي”تويتر”:”حقا؟ للضغط على من؟ الناخبون في ليبيا وليس واشنطن. ما مدى فهمهم للناخبين الليبيين؟”.
Really? To lobby whom? The voters are in #Libya, not Washington. How much understanding do they have of #Libyan voters? https://t.co/jm17mZm3Ov
— Peter Millett (@PeterMillett1) July 10, 2021
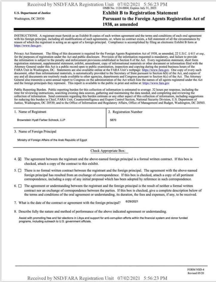
كانت قد ذكرت وكالة رويترز للأنباء، أن سجلات وزارة العدل الأمريكية التي تم الكشف عنها مؤخرا أظهرت أن مكتب المحاماة “براونستاين هيات فاربر شريك” سجل في الولايات المتحدة ، عقدا مع وزير الداخلية السابق فتحي باشاغا بشأن الترويج لحملته الانتخابية .
American Law Firm “Brownstein Hyatt Farber Schreck” to Lobby for Fathi Bashagha in Upcoming Elections#Libya #LibyaReviewhttps://t.co/ZTJeIFKBAP
— Libya Review (@LibyaReview) July 10, 2021
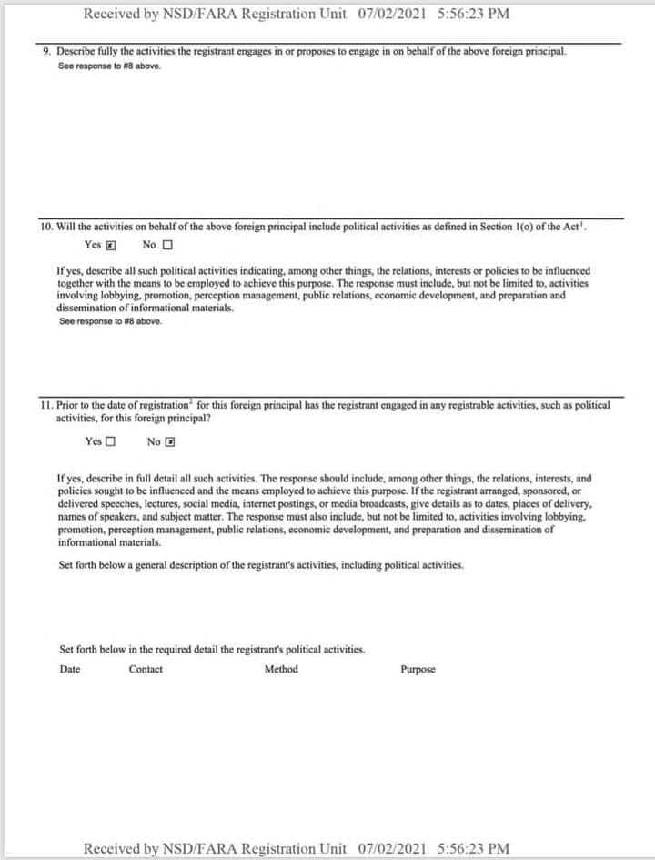
وقد أعلن مكتب المحاماة في 2 يوليو الجاري أنه يعمل لصالح باشاغا بموجب قانون تسجيل الوكلاء الأجانب الفيدرالي “فارا”، الذي يتطلب الكشف عن بعض الأمور للعملاء الأجانب خارج نطاق التقاضي التقليدي القائم على المحاكم، بحسب رويترز.

مصدر الخبر من …. رويترز
وقالت رويترز، إن عقد “براونستاين هيات” البالغ قيمته 50 ألف دولار شهريا يشير إلى أن مكتب المحاماة سيساعد في الترويج لانتخابات حرة ونزيهة في ليبيا وسيدعم جهود مكافحة الفساد، وأشارت إلى أن المكتب يخطط للتواصل مع مسؤولي الحكومة الأمريكية، لكن العقد لم يحدد نطاق هذا العمل.
وأفادت وكالة رويترز للأنباء بأنه تمت تسمية مديري السياسات في مكتب المحاماة “إد رويس” و”دوغ ماجواير” و”سامانثا كارل يودر” كمشرفين على ما وصفتهم بـ” مجموعة الضغط” لصالح باشاغا، مشيرة إلى أن “رويس” هو عضو كونجرس جمهوري سابق عن ولاية كاليفورنيا.

ووفقا لسجلات “فارا ، كان التعامل مع شركة محاماة أمريكية هو الأول من نوعه بالنسبة إلى فتحي باشاغا، فيما أشارت وثائق التسجيل إلى أنه “مواطن أجنبي لا يخضع لإشراف أو دعم أو توجيه أو سيطرة حكومة أجنبية أو حزب سياسي أجنبي”، بحسب رويترز.
وكشف العقد المبرم بين مكتب “براونستاين هيات” وباشاغا أنه سيكون ساري المفعول إلى غاية 28 يناير 2022 ويجدد تلقائيا لمدة 12 شهرا ما لم يتفق الطرفان على ترتيب جديد، مطالبا وزير الداخلية السابق بالتنازل عن أي اعتراض تضارب المصالح الذي يمكن اعتباره ناشئا عن تمثيل العملاء الآخرين في مسائل السياسة التشريعية أو الإدارية التي لا علاقة لها بالتمثيل نيابة عنه.





